Спросите Волшебника #391
1 2 + 2 2 + 3 2 + ... + n 2 = ?
Вот моё решение . (PDF)
Предположим, вы подбрасываете честную монету миллион раз. Используя только простой калькулятор с пятью основными арифметическими функциями (+, 0, *, /, ^), какова вероятность получить ровно одинаковое количество орлов и решек? Достаточно приблизительной оценки.
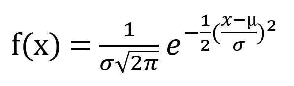
Вспомним уравнение стандартной нормальной кривой:

Ожидаемое количество выпавших решек за один бросок равно 0,5, а ожидаемое квадратичное количество выпавших решек также равно 0,5. Таким образом, дисперсия количества выпавших решек за один бросок равна 0,5 - (0,5) ² = 0,5 - 0,25 = 0,25. Дисперсия одного миллиона бросков равна 1 000 000 * 0,25 = 250 000. Стандартное отклонение одного миллиона бросков равно квадратному корню из этого числа: √250 000 = 5000.
Пусть x = отношение числа выпавших решек к ожидаемому числу 500 000. Среднее значение x равно нулю. Как показано, стандартное отклонение x равно 5000.
Вероятность x=0, таким образом, равна:

Это упрощается до 1/(5000*sqrt(2*π)) ≈ 0,000797885 ≈ 1 из 1253,314137.
Ссылки
Статья в Википедии о стандартной нормальной кривой .
Вы едете на велосипеде по беговой дорожке со скоростью 15 миль в час. По дорожке бегают люди со скоростью 5 миль в час. Количество бегунов, движущихся в каждом направлении, одинаково. Какое соотношение бегунов, которых вы обгоните, будет двигаться в противоположном от вас направлении?
Предположим, что длина пути составляет 15 миль.
Велосипедист встречал бегунов, которые начинали движение с другой стороны, за 3 часа до моего старта и за 1 час после него, итого за 4 часа я встретил бегунов.
Двигаясь в том же направлении, велосипедист встречал бегунов, которые начали пробежку от 2 часов раньше меня до 2 часов назад, то есть в общей сложности прошло 2 часа.
Таким образом, вдвое больше бегунов будут двигаться в противоположном направлении. Отношение бегунов, движущихся в противоположном направлении, ко всем бегунам составляет 4/(2+4) = 2/3.
По отношению к бегунам, движущимся в том же направлении, ваша скорость составляет 15-5 = 10 миль в час.
По отношению к бегунам, движущимся в противоположном направлении, ваша скорость составляет 15 + 5 = 20 миль в час.
Таким образом, вы обгоните вдвое больше бегунов, движущихся в противоположном направлении. В результате соотношение составит 2/(1+2) = 2/3.
Этот вопрос задаётся и обсуждается на моём форуме, посвящённом игре Wizard of Vegas .