Спросите Волшебника #422
Допустим, в игре в блэкджек используется бесконечное количество колод, допускается бесконечное повторное разделение карт, и игрок разделит любую пару. Какова вероятность того, что игрок сыграет любое заданное количество финальных раздач?
Вероятность повторного разделения на n рук равна (комбинация(2*(n-1),n-1)/n) × (1/13)^(n-1) × (12/13)^n. Для получения дополнительной информации о первом члене, с которым мне понадобилась помощь, обратитесь к каталанским числам .
В следующей таблице показана вероятность выпадения от 1 до 20 финальных раздач. В столбце «секунды» указано количество «деревьев», которое в приведенном выше выражении соответствует каталанскому числу.
| Руки | Деревья | Вероятность |
|---|---|---|
| 1 | 1 | 0.9230769230769 |
| 2 | 1 | 0.0655439235321 |
| 3 | 2 | 0.0093080128093 |
| 4 | 5 | 0.0016523099661 |
| 5 | 14 | 0.0003285065968 |
| 6 | 42 | 0.0000699777366 |
| 7 | 132 | 0.0000156163334 |
| 8 | 429 | 0.0000036037693 |
| 9 | 1430 | 0.0000008529631 |
| 10 | 4862 | 0.0000002059225 |
| 11 | 16796 | 0.0000000505114 |
| 12 | 58786 | 0.0000000125531 |
| 13 | 208012 | 0.0000000031540 |
| 14 | 742900 | 0.0000000007998 |
| 15 | 2674440 | 0.0000000002045 |
| 16 | 9694845 | 0.0000000000526 |
| 17 | 35357670 | 0.0000000000136 |
| 18 | 129644790 | 0.0000000000035 |
| 19 | 477638700 | 0.0000000000009 |
| 20 | 1767263190 | 0.0000000000002 |
Я слышал, что существует бесконечное количество пифагоровых троек. Есть ли какой-нибудь формульный способ их найти?
Да, существует бесконечное количество уникальных пифагоровых троек! Для тех, кто не знаком с этим термином, это прямоугольные треугольники, каждая сторона которых является целым числом. 3-4-5 — самая известная из них. Чтобы получить уникальное (другими словами, неприводимое) множество пифагоровых троек, выберите любые целые значения для a и b, где a < b, и одно из них нечетное, а другое четное.
- Нога 1 = b 2 - a 2
- Вторая нога = 2ab
- Гипотенуза = a² + b²
В следующей таблице показаны все неприводимые пифагорейские тройки, у которых все стороны равны 101 или меньше.
| а,б | Этап 1 | Этап 2 | Гипотенуза |
|---|---|---|---|
| 1,2 | 3 | 4 | 5 |
| 1,4 | 8 | 15 | 17 |
| 1,6 | 12 | 35 | 37 |
| 1,8 | 16 | 63 | 65 |
| 1,10 | 20 | 99 | 101 |
| 2,3 | 5 | 12 | 13 |
| 2,5 | 20 | 21 | 29 |
| 2,7 | 28 | 45 | 53 |
| 2,9 | 36 | 77 | 85 |
| 3,4 | 7 | 24 | 25 |
| 3,6 | 27 | 36 | 45 |
| 3,8 | 48 | 55 | 73 |
| 4,5 | 9 | 40 | 41 |
| 4,7 | 33 | 56 | 65 |
| 4,9 | 65 | 72 | 97 |
| 5,6 | 11 | 60 | 61 |
| 5,8 | 39 | 80 | 89 |
| 6,7 | 13 | 84 | 85 |
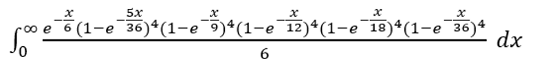
Какова вероятность того, что при выпадении любой суммы на двух игральных костях, кроме семерки, она выпадет как минимум дважды, прежде чем выпадет семерка?
Секрет подобных задач заключается в том, что вероятность одинакова, если промежуток времени между бросками подчиняется экспоненциальному распределению со средним значением, равным 1. В этом случае её можно выразить следующей формулой.

В текстовом виде: exp(-x/6)*(1-exp(-5x/36))^4*(1-exp(-4x/36))^4*(1-exp(-3x/36))^4*(1-exp(-2x/36))^4*(1-exp(-1x/36))^4/6
Для решения подобных интегралов я рекомендую этот калькулятор интегралов .
Ответ равен 7864581698887803455719/10946915593544650625105200 =~ 0.0007184290069364848.